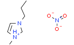
1-丙基-3-甲基咪唑鎓硝酸盐
| 产品编号 | Rhawn-R216225 |
| 产品分类 | 高端化学 |
| CAS号 | 649745-76-6 |
| 分子式 | C7H15N3O3 |
| 分子量 | 189.21 |
产品详情
相关产品
≥98%
12093-05-9
≥97%
1291-48-1
≥98%
134029-92-8
≥99%
14024-18-1
99.99% metals basis
14459-95-1
≥99%,AR
14459-95-1
ACS,98.5-102.0%
14459-95-1







